5
$299,900 Sale
Listed 78 days ago
0 STONEBRIDGE DRIVE
· 0
· 0.0
· 0
· -
Key Facts
Key facts for 0 STONEBRIDGE DRIVE
Property Type
Lots/Land
Parking
Garage: No, 0 parking
MLS #
X12288135
Size
-
Basement
-
Listed on
-
Lot size
-
Tax
-
Days on Market
-
Year Built
-
Maintenance Fee
-
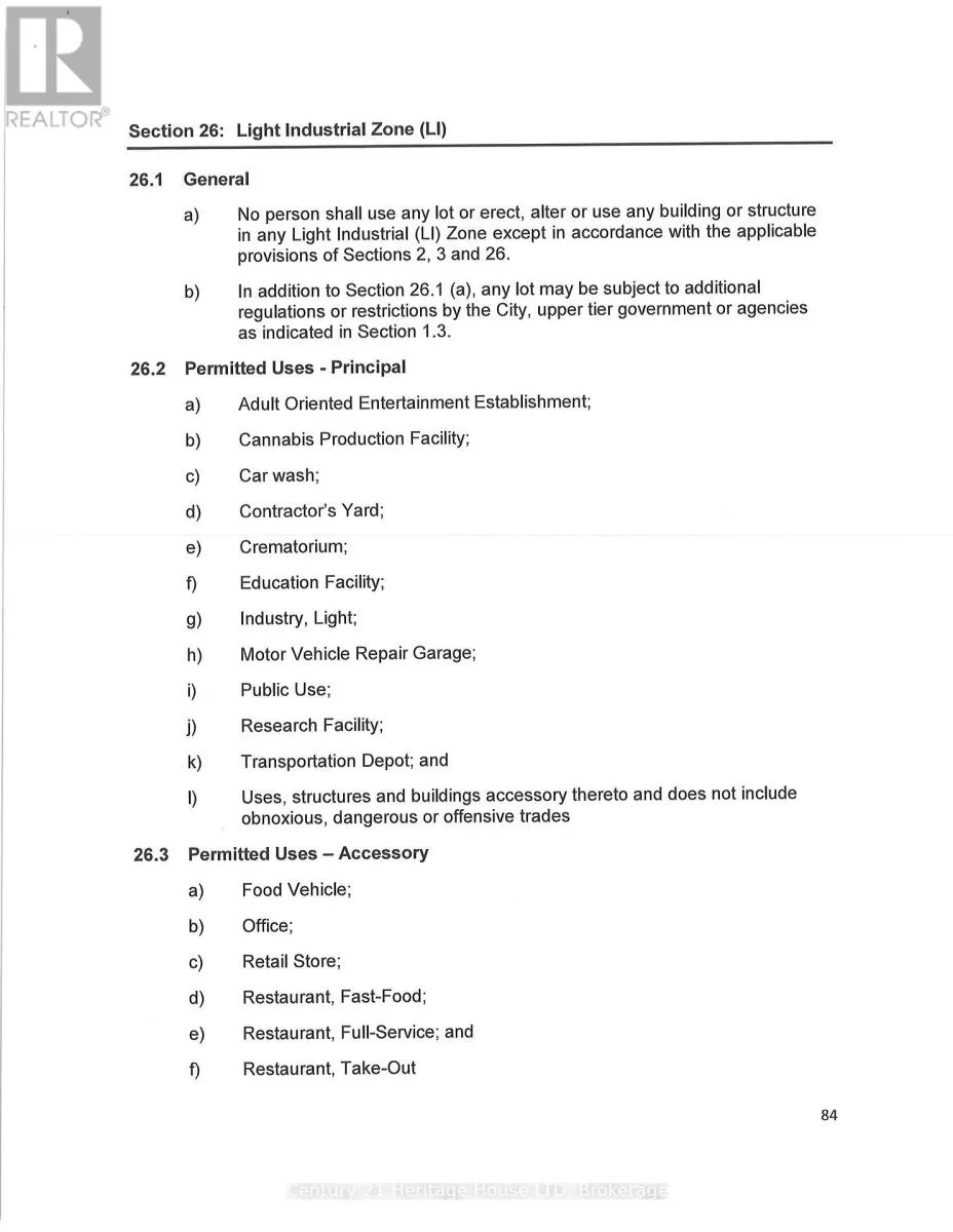
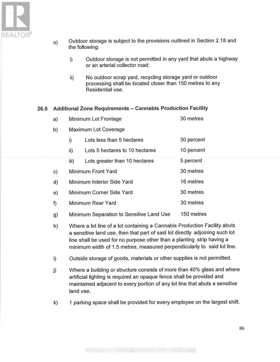
Description
Commercial Lot - Buildable Light Industrial Lot 1.013 Acres in Port Colborne. Here is an exceptional opportunity to own a Light Industrial-zoned land in the sought-after Loyalist Industrial Park, just off Highway 58 in Port Colborne. This buildable lot offers LI zoning, allowing for a wide range of... permitted uses, making it ideal for investors, developers, or business owners looking to expand. Key Features: Zoned Light Industrial versatile for various commercial/industrial uses, Utilities available at the road: Hydro, natural gas, and high-speed internet. Located in a growing industrial hub with easy highway access Level, clear lot ready for your vision (id:10452)
Similar Properties (No results)
Listing courtesy of: Century 21 Heritage House LTD
This REALTOR.ca listing content is owned and licensed by REALTOR® members of The Canadian Real Estate Association.